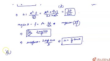
A hollow sphere is released from the top of an inclined plane of inclination `theta` and length

Tonton & Download Video Musik Gratis

⬇ DOWNLOAD NOW
Kalau muncul iklan pop-up, tutup lalu klik tombol kembali

Download lagu A hollow sphere is released from the top of an inclined plane of inclination `theta` and length secara gratis hanya untuk keperluan promosi. Dukung artis favorit kamu dengan membeli musik original di iTunes atau platform resmi lainnya.