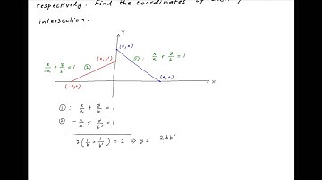
Find the equation of the line which makes intercepts -3 and 2 on the x and y-axis respectively.

Tonton & Download Video Musik Gratis

⬇ DOWNLOAD NOW
Kalau muncul iklan pop-up, tutup lalu klik tombol kembali

Download lagu Find the equation of the line which makes intercepts -3 and 2 on the x and y-axis respectively. secara gratis hanya untuk keperluan promosi. Dukung artis favorit kamu dengan membeli musik original di iTunes atau platform resmi lainnya.