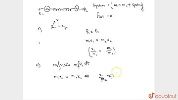
Two blocks of masses `m_1` and `m_2` inter connected by a spring of stiffness `k` are placed on ...

Tonton & Download Video Musik Gratis

⬇ DOWNLOAD NOW
Kalau muncul iklan pop-up, tutup lalu klik tombol kembali

Download lagu Two blocks of masses `m_1` and `m_2` inter connected by a spring of stiffness `k` are placed on ... secara gratis hanya untuk keperluan promosi. Dukung artis favorit kamu dengan membeli musik original di iTunes atau platform resmi lainnya.