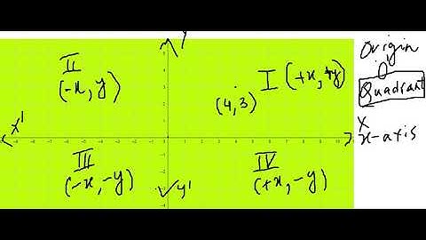
7.4 Coordinate Geometry: Ordered pairs (x, y) on a coordinate plane #geometry #abscissa #ordinate

Tonton & Download Video Musik Gratis

⬇ DOWNLOAD NOW
Kalau muncul iklan pop-up, tutup lalu klik tombol kembali

Download lagu 7.4 Coordinate Geometry: Ordered pairs (x, y) on a coordinate plane #geometry #abscissa #ordinate secara gratis hanya untuk keperluan promosi. Dukung artis favorit kamu dengan membeli musik original di iTunes atau platform resmi lainnya.