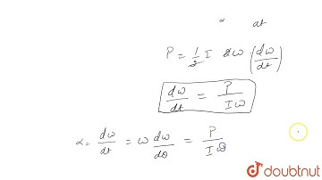
A constant power is supplied to a rotating disc. The relationship of the angular velocity (omega)

Tonton & Download Video Musik Gratis

⬇ DOWNLOAD NOW
Kalau muncul iklan pop-up, tutup lalu klik tombol kembali

Download lagu A constant power is supplied to a rotating disc. The relationship of the angular velocity (omega) secara gratis hanya untuk keperluan promosi. Dukung artis favorit kamu dengan membeli musik original di iTunes atau platform resmi lainnya.