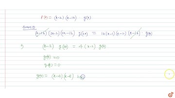
If P(x) be a polynomial function satisfying P(x)-P’(x)=x^2+2x+1.

Tonton & Download Video Musik Gratis

⬇ DOWNLOAD NOW
Kalau muncul iklan pop-up, tutup lalu klik tombol kembali

Download lagu If P(x) be a polynomial function satisfying P(x)-P’(x)=x^2+2x+1. secara gratis hanya untuk keperluan promosi. Dukung artis favorit kamu dengan membeli musik original di iTunes atau platform resmi lainnya.