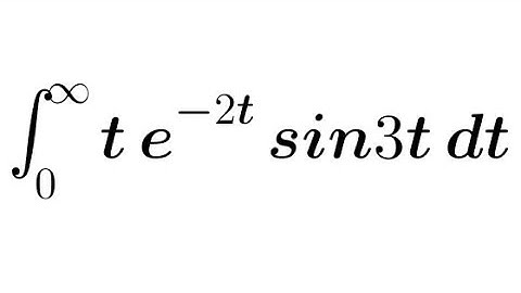
Evaluate Integral of t e^-2t sin3t dt using general formula of Laplace transforms|#JEEMAINS #CSIRNET

Tonton & Download Video Musik Gratis

⬇ DOWNLOAD NOW
Kalau muncul iklan pop-up, tutup lalu klik tombol kembali

Download lagu Evaluate Integral of t e^-2t sin3t dt using general formula of Laplace transforms|#JEEMAINS #CSIRNET secara gratis hanya untuk keperluan promosi. Dukung artis favorit kamu dengan membeli musik original di iTunes atau platform resmi lainnya.