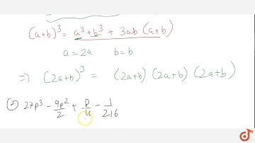
27p^3-1/216-9p^2/2+1/4p factorise | Factorise each of the following 27p3-1/216-9p^2/2+1/4p

Tonton & Download Video Musik Gratis

⬇ DOWNLOAD NOW
Kalau muncul iklan pop-up, tutup lalu klik tombol kembali

Download lagu 27p^3-1/216-9p^2/2+1/4p factorise | Factorise each of the following 27p3-1/216-9p^2/2+1/4p secara gratis hanya untuk keperluan promosi. Dukung artis favorit kamu dengan membeli musik original di iTunes atau platform resmi lainnya.