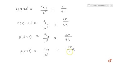
Suppose X has a binomial distribution `B(6,1/2)`. Show that `X = 3`is the most likely outcome.

Tonton & Download Video Musik Gratis

⬇ DOWNLOAD NOW
Kalau muncul iklan pop-up, tutup lalu klik tombol kembali

Download lagu Suppose X has a binomial distribution `B(6,1/2)`. Show that `X = 3`is the most likely outcome. secara gratis hanya untuk keperluan promosi. Dukung artis favorit kamu dengan membeli musik original di iTunes atau platform resmi lainnya.