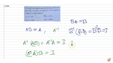
If A and B are square matrices of the same order such that AB=A and BA=B, then `(A^2+B^2)...

Tonton & Download Video Musik Gratis

⬇ DOWNLOAD NOW
Kalau muncul iklan pop-up, tutup lalu klik tombol kembali

Download lagu If A and B are square matrices of the same order such that AB=A and BA=B, then `(A^2+B^2)... secara gratis hanya untuk keperluan promosi. Dukung artis favorit kamu dengan membeli musik original di iTunes atau platform resmi lainnya.