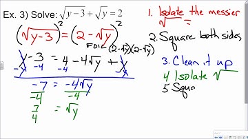
DIVE Video Lecture for Saxon Advanced Math 2nd Edition Lesson 6

Tonton & Download Video Musik Gratis

⬇ DOWNLOAD NOW
Kalau muncul iklan pop-up, tutup lalu klik tombol kembali

Download lagu DIVE Video Lecture for Saxon Advanced Math 2nd Edition Lesson 6 secara gratis hanya untuk keperluan promosi. Dukung artis favorit kamu dengan membeli musik original di iTunes atau platform resmi lainnya.