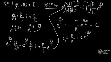
Solve the initial value problem explicitly for dy/dx = -1/x^2 - 3/x^4 + 12 and y =3 when x = 1

Tonton & Download Video Musik Gratis

⬇ DOWNLOAD NOW
Kalau muncul iklan pop-up, tutup lalu klik tombol kembali

Download lagu Solve the initial value problem explicitly for dy/dx = -1/x^2 - 3/x^4 + 12 and y =3 when x = 1 secara gratis hanya untuk keperluan promosi. Dukung artis favorit kamu dengan membeli musik original di iTunes atau platform resmi lainnya.