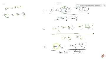
#themathsgurudev,Prove that in any triangle (b-c)cotA/2+(c-a)cotB/2+(a-b)cotC/2=0,CLASS 11 MATHS

Tonton & Download Video Musik Gratis

⬇ DOWNLOAD NOW
Kalau muncul iklan pop-up, tutup lalu klik tombol kembali

Download lagu #themathsgurudev,Prove that in any triangle (b-c)cotA/2+(c-a)cotB/2+(a-b)cotC/2=0,CLASS 11 MATHS secara gratis hanya untuk keperluan promosi. Dukung artis favorit kamu dengan membeli musik original di iTunes atau platform resmi lainnya.