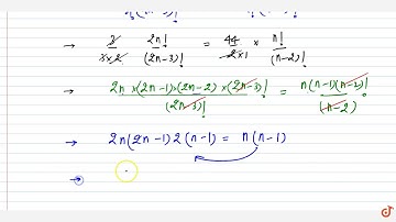
If ltmath gt ltmrow gt ltmsup gt ltmo gt  lt/mo gt ltmrow gt ltmn gt28 lt/mn gt l

Tonton & Download Video Musik Gratis

⬇ DOWNLOAD NOW
Kalau muncul iklan pop-up, tutup lalu klik tombol kembali

Download lagu If ltmath gt ltmrow gt ltmsup gt ltmo gt  lt/mo gt ltmrow gt ltmn gt28 lt/mn gt l secara gratis hanya untuk keperluan promosi. Dukung artis favorit kamu dengan membeli musik original di iTunes atau platform resmi lainnya.