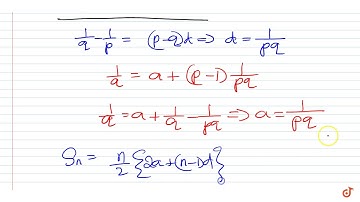
If the pth term of an AP is 1/q end the qth term is 1/p show that the sum of pq terms is 1/2 (pq+1)

Tonton & Download Video Musik Gratis

⬇ DOWNLOAD NOW
Kalau muncul iklan pop-up, tutup lalu klik tombol kembali

Download lagu If the pth term of an AP is 1/q end the qth term is 1/p show that the sum of pq terms is 1/2 (pq+1) secara gratis hanya untuk keperluan promosi. Dukung artis favorit kamu dengan membeli musik original di iTunes atau platform resmi lainnya.