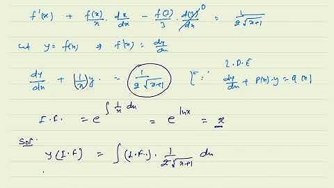
A derivable function `f(x)` satisfies the relation `f(x)=int_0^1 xf(t) dt+int_0^x x^2f(t) dt`...

Tonton & Download Video Musik Gratis

⬇ DOWNLOAD NOW
Kalau muncul iklan pop-up, tutup lalu klik tombol kembali

Download lagu A derivable function `f(x)` satisfies the relation `f(x)=int_0^1 xf(t) dt+int_0^x x^2f(t) dt`... secara gratis hanya untuk keperluan promosi. Dukung artis favorit kamu dengan membeli musik original di iTunes atau platform resmi lainnya.