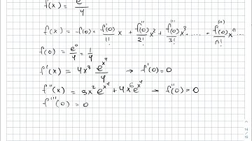
Find the Maclaurin series of f(x) = ln (4-x) and associated radius of convergence

Tonton & Download Video Musik Gratis

⬇ DOWNLOAD NOW
Kalau muncul iklan pop-up, tutup lalu klik tombol kembali

Download lagu Find the Maclaurin series of f(x) = ln (4-x) and associated radius of convergence secara gratis hanya untuk keperluan promosi. Dukung artis favorit kamu dengan membeli musik original di iTunes atau platform resmi lainnya.