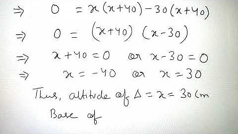
Class 10 Maths (Ex 4E Q66) Quadratic Equations Word Problem (R S Agarwal 2019)

Tonton & Download Video Musik Gratis

⬇ DOWNLOAD NOW
Kalau muncul iklan pop-up, tutup lalu klik tombol kembali

Download lagu Class 10 Maths (Ex 4E Q66) Quadratic Equations Word Problem (R S Agarwal 2019) secara gratis hanya untuk keperluan promosi. Dukung artis favorit kamu dengan membeli musik original di iTunes atau platform resmi lainnya.