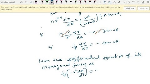
IIT-JAM Mathematics 2025, question no. 11 // Differential equation // orthogonal trajectory

Tonton & Download Video Musik Gratis

⬇ DOWNLOAD NOW
Kalau muncul iklan pop-up, tutup lalu klik tombol kembali

Download lagu IIT-JAM Mathematics 2025, question no. 11 // Differential equation // orthogonal trajectory secara gratis hanya untuk keperluan promosi. Dukung artis favorit kamu dengan membeli musik original di iTunes atau platform resmi lainnya.