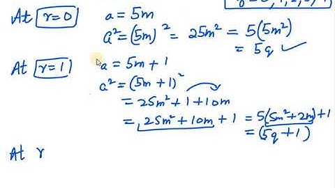
Show that the square of any positive integer cannot be of the form 5q + 2 or 5q + 3 for any integer

Tonton & Download Video Musik Gratis

⬇ DOWNLOAD NOW
Kalau muncul iklan pop-up, tutup lalu klik tombol kembali

Download lagu Show that the square of any positive integer cannot be of the form 5q + 2 or 5q + 3 for any integer secara gratis hanya untuk keperluan promosi. Dukung artis favorit kamu dengan membeli musik original di iTunes atau platform resmi lainnya.