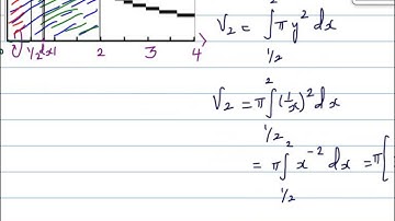
Volume of revolution when the graph of xy = 1 is rotated about x and y axis

Tonton & Download Video Musik Gratis

⬇ DOWNLOAD NOW
Kalau muncul iklan pop-up, tutup lalu klik tombol kembali

Download lagu Volume of revolution when the graph of xy = 1 is rotated about x and y axis secara gratis hanya untuk keperluan promosi. Dukung artis favorit kamu dengan membeli musik original di iTunes atau platform resmi lainnya.