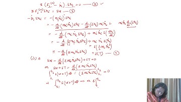
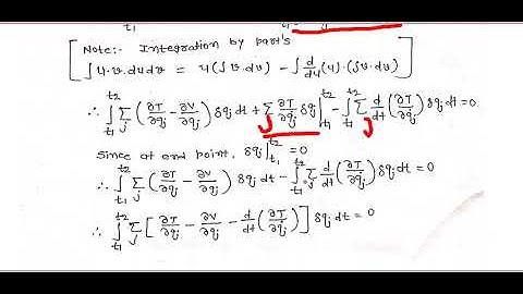
Lagrange’s equations of motion from Hamilton’s Principle for non-conservative system

Tonton & Download Video Musik Gratis

⬇ DOWNLOAD NOW
Kalau muncul iklan pop-up, tutup lalu klik tombol kembali

Download lagu Lagrange’s equations of motion from Hamilton’s Principle for non-conservative system secara gratis hanya untuk keperluan promosi. Dukung artis favorit kamu dengan membeli musik original di iTunes atau platform resmi lainnya.