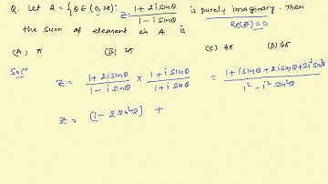
Let A = {3+2isin/1-2isin is purely imaginary} Then, the sum of the elements in A is

Tonton & Download Video Musik Gratis

⬇ DOWNLOAD NOW
Kalau muncul iklan pop-up, tutup lalu klik tombol kembali

Download lagu Let A = {3+2isin/1-2isin is purely imaginary} Then, the sum of the elements in A is secara gratis hanya untuk keperluan promosi. Dukung artis favorit kamu dengan membeli musik original di iTunes atau platform resmi lainnya.