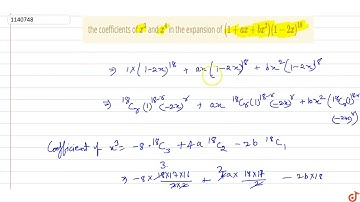
If the coefficient of x^3 and x^4 in expansion of (1+ax+bx^2)(1-2x)^18 in powers of x are both zero

Tonton & Download Video Musik Gratis

⬇ DOWNLOAD NOW
Kalau muncul iklan pop-up, tutup lalu klik tombol kembali

Download lagu If the coefficient of x^3 and x^4 in expansion of (1+ax+bx^2)(1-2x)^18 in powers of x are both zero secara gratis hanya untuk keperluan promosi. Dukung artis favorit kamu dengan membeli musik original di iTunes atau platform resmi lainnya.