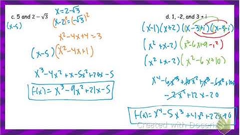
Fundamental Theorem of Algebra / Writing Polynomial Functions Given Three Zeros and a Point

Tonton & Download Video Musik Gratis

⬇ DOWNLOAD NOW
Kalau muncul iklan pop-up, tutup lalu klik tombol kembali

Download lagu Fundamental Theorem of Algebra / Writing Polynomial Functions Given Three Zeros and a Point secara gratis hanya untuk keperluan promosi. Dukung artis favorit kamu dengan membeli musik original di iTunes atau platform resmi lainnya.