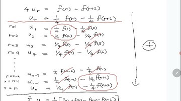
Combined Maths 2024 A/L Paper - Pure Question 12 part (a) Solution

Tonton & Download Video Musik Gratis

⬇ DOWNLOAD NOW
Kalau muncul iklan pop-up, tutup lalu klik tombol kembali

Download lagu Combined Maths 2024 A/L Paper - Pure Question 12 part (a) Solution secara gratis hanya untuk keperluan promosi. Dukung artis favorit kamu dengan membeli musik original di iTunes atau platform resmi lainnya.