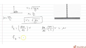
A chain hangs on a thread and touches the surface of a table by its lower end. Show that after t...

Tonton & Download Video Musik Gratis

⬇ DOWNLOAD NOW
Kalau muncul iklan pop-up, tutup lalu klik tombol kembali

Download lagu A chain hangs on a thread and touches the surface of a table by its lower end. Show that after t... secara gratis hanya untuk keperluan promosi. Dukung artis favorit kamu dengan membeli musik original di iTunes atau platform resmi lainnya.