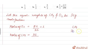
Equal weights of methane and oxygen are mixed in an empty container at 25^∘C. The fraction of the...

Tonton & Download Video Musik Gratis

⬇ DOWNLOAD NOW
Kalau muncul iklan pop-up, tutup lalu klik tombol kembali

Download lagu Equal weights of methane and oxygen are mixed in an empty container at 25^∘C. The fraction of the... secara gratis hanya untuk keperluan promosi. Dukung artis favorit kamu dengan membeli musik original di iTunes atau platform resmi lainnya.