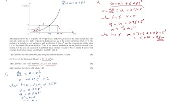
2016 HKDSE M1 Solution q7, Differentiation(微分), Equation of the tangent (切線方程)

Tonton & Download Video Musik Gratis

⬇ DOWNLOAD NOW
Kalau muncul iklan pop-up, tutup lalu klik tombol kembali

Download lagu 2016 HKDSE M1 Solution q7, Differentiation(微分), Equation of the tangent (切線方程) secara gratis hanya untuk keperluan promosi. Dukung artis favorit kamu dengan membeli musik original di iTunes atau platform resmi lainnya.