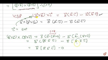
For any three vectors `vec(A), vec(B)` and `vec(C)` prove that `vec(A) xx (vec(B) +vec(C)

Tonton & Download Video Musik Gratis

⬇ DOWNLOAD NOW
Kalau muncul iklan pop-up, tutup lalu klik tombol kembali

Download lagu For any three vectors `vec(A), vec(B)` and `vec(C)` prove that `vec(A) xx (vec(B) +vec(C) secara gratis hanya untuk keperluan promosi. Dukung artis favorit kamu dengan membeli musik original di iTunes atau platform resmi lainnya.