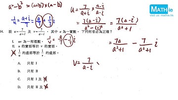
2016 HKDSE Maths Core Paper 2 Solution q34, Complex Number(複數)

Tonton & Download Video Musik Gratis

⬇ DOWNLOAD NOW
Kalau muncul iklan pop-up, tutup lalu klik tombol kembali

Download lagu 2016 HKDSE Maths Core Paper 2 Solution q34, Complex Number(複數) secara gratis hanya untuk keperluan promosi. Dukung artis favorit kamu dengan membeli musik original di iTunes atau platform resmi lainnya.