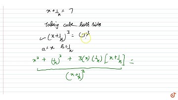
Find the modulus of ltmath gt ltmrow gt ltmfrac gt ltmrow gt ltmn gt1 lt/mn gt ltmo gt+ l

Tonton & Download Video Musik Gratis

⬇ DOWNLOAD NOW
Kalau muncul iklan pop-up, tutup lalu klik tombol kembali

Download lagu Find the modulus of ltmath gt ltmrow gt ltmfrac gt ltmrow gt ltmn gt1 lt/mn gt ltmo gt+ l secara gratis hanya untuk keperluan promosi. Dukung artis favorit kamu dengan membeli musik original di iTunes atau platform resmi lainnya.