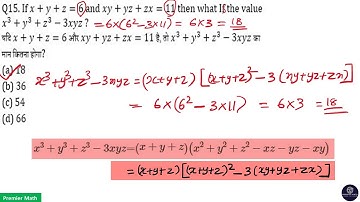
If x + y + z = 9 and xy + yz + zx = 23, then x³ + y³ + z³ – 3xyz = ? | Basic Maths by JP Sir

Tonton & Download Video Musik Gratis

⬇ DOWNLOAD NOW
Kalau muncul iklan pop-up, tutup lalu klik tombol kembali

Download lagu If x + y + z = 9 and xy + yz + zx = 23, then x³ + y³ + z³ – 3xyz = ? | Basic Maths by JP Sir secara gratis hanya untuk keperluan promosi. Dukung artis favorit kamu dengan membeli musik original di iTunes atau platform resmi lainnya.