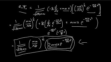
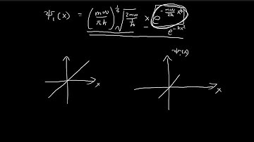
Griffiths Quantum Mechanics Problem 2.10: 2nd Excited State of Harmonic Oscillator & Orthogonality

Tonton & Download Video Musik Gratis

⬇ DOWNLOAD NOW
Kalau muncul iklan pop-up, tutup lalu klik tombol kembali

Download lagu Griffiths Quantum Mechanics Problem 2.10: 2nd Excited State of Harmonic Oscillator & Orthogonality secara gratis hanya untuk keperluan promosi. Dukung artis favorit kamu dengan membeli musik original di iTunes atau platform resmi lainnya.