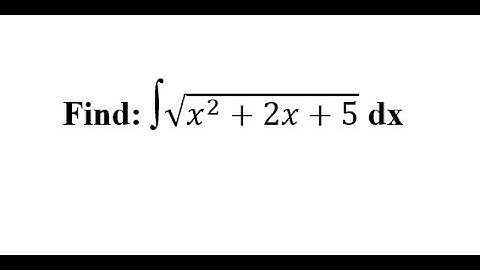
Class 12th – Integral of sqrt(x^2 + 2x + 5) dx | Integrals | Tutorials Point

Tonton & Download Video Musik Gratis

⬇ DOWNLOAD NOW
Kalau muncul iklan pop-up, tutup lalu klik tombol kembali

Download lagu Class 12th – Integral of sqrt(x^2 + 2x + 5) dx | Integrals | Tutorials Point secara gratis hanya untuk keperluan promosi. Dukung artis favorit kamu dengan membeli musik original di iTunes atau platform resmi lainnya.