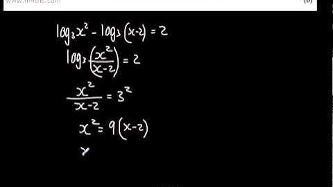
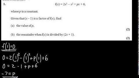
q2 Edexcel Core 2 Mock AS paper A Level Maths May June 2014

Tonton & Download Video Musik Gratis

⬇ DOWNLOAD NOW
Kalau muncul iklan pop-up, tutup lalu klik tombol kembali

Download lagu q2 Edexcel Core 2 Mock AS paper A Level Maths May June 2014 secara gratis hanya untuk keperluan promosi. Dukung artis favorit kamu dengan membeli musik original di iTunes atau platform resmi lainnya.