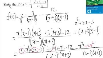
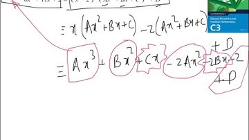
C3-Edexcel Algebra Fractions Chapter 1 Section E- Q2 part a

Tonton & Download Video Musik Gratis

⬇ DOWNLOAD NOW
Kalau muncul iklan pop-up, tutup lalu klik tombol kembali

Download lagu C3-Edexcel Algebra Fractions Chapter 1 Section E- Q2 part a secara gratis hanya untuk keperluan promosi. Dukung artis favorit kamu dengan membeli musik original di iTunes atau platform resmi lainnya.