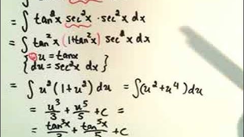
Lecture#2(Trigonometric Integrals-part#6| Integrating powers of tangent and secant)

Tonton & Download Video Musik Gratis

⬇ DOWNLOAD NOW
Kalau muncul iklan pop-up, tutup lalu klik tombol kembali

Download lagu Lecture#2(Trigonometric Integrals-part#6| Integrating powers of tangent and secant) secara gratis hanya untuk keperluan promosi. Dukung artis favorit kamu dengan membeli musik original di iTunes atau platform resmi lainnya.