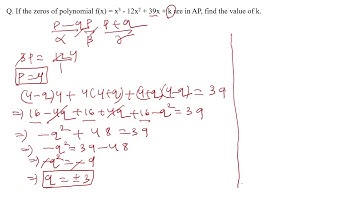
If the zeroes of the polynomial f(x)=x^3-12x^2+39x+k are in A.P., find the value of k...|| RD Que.

Tonton & Download Video Musik Gratis

⬇ DOWNLOAD NOW
Kalau muncul iklan pop-up, tutup lalu klik tombol kembali

Download lagu If the zeroes of the polynomial f(x)=x^3-12x^2+39x+k are in A.P., find the value of k...|| RD Que. secara gratis hanya untuk keperluan promosi. Dukung artis favorit kamu dengan membeli musik original di iTunes atau platform resmi lainnya.