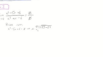
Interpretar una función racional continua en todo R. PAU ccss2 septiembre 2008 B3. José Jaime Mas

Tonton & Download Video Musik Gratis

⬇ DOWNLOAD NOW
Kalau muncul iklan pop-up, tutup lalu klik tombol kembali

Download lagu Interpretar una función racional continua en todo R. PAU ccss2 septiembre 2008 B3. José Jaime Mas secara gratis hanya untuk keperluan promosi. Dukung artis favorit kamu dengan membeli musik original di iTunes atau platform resmi lainnya.