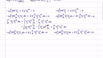
Mechanical Vibrations 46 - Strings 3 - Orthogonality of Natural Modes

Tonton & Download Video Musik Gratis

⬇ DOWNLOAD NOW
Kalau muncul iklan pop-up, tutup lalu klik tombol kembali

Download lagu Mechanical Vibrations 46 - Strings 3 - Orthogonality of Natural Modes secara gratis hanya untuk keperluan promosi. Dukung artis favorit kamu dengan membeli musik original di iTunes atau platform resmi lainnya.