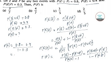
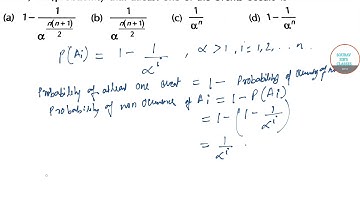
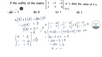
PROBABILITY SUBJECTIVE QUESTIONS ONLINE LECTURES, STUDY MATERIAL,YEAR SOLVE,COMPLETE SOLUTION

Tonton & Download Video Musik Gratis

⬇ DOWNLOAD NOW
Kalau muncul iklan pop-up, tutup lalu klik tombol kembali

Download lagu PROBABILITY SUBJECTIVE QUESTIONS ONLINE LECTURES, STUDY MATERIAL,YEAR SOLVE,COMPLETE SOLUTION secara gratis hanya untuk keperluan promosi. Dukung artis favorit kamu dengan membeli musik original di iTunes atau platform resmi lainnya.