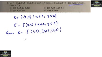
If R be a relation for A = {1,2,3,4} to B = {1,3,5} such that (a,b) R iff a less than b then RoR-1

Tonton & Download Video Musik Gratis

⬇ DOWNLOAD NOW
Kalau muncul iklan pop-up, tutup lalu klik tombol kembali

Download lagu If R be a relation for A = {1,2,3,4} to B = {1,3,5} such that (a,b) R iff a less than b then RoR-1 secara gratis hanya untuk keperluan promosi. Dukung artis favorit kamu dengan membeli musik original di iTunes atau platform resmi lainnya.