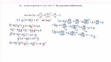
Score A in PSPM I - Implicit Differentiation SET1 E6(a) Section B

Tonton & Download Video Musik Gratis

⬇ DOWNLOAD NOW
Kalau muncul iklan pop-up, tutup lalu klik tombol kembali

Download lagu Score A in PSPM I - Implicit Differentiation SET1 E6(a) Section B secara gratis hanya untuk keperluan promosi. Dukung artis favorit kamu dengan membeli musik original di iTunes atau platform resmi lainnya.