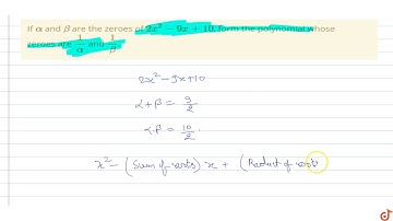
If `alpha" and "beta` are the zeroes of the polynomial `p(x)= 9x^(2)+9x | Class 10 MATH | Doubtnut

Tonton & Download Video Musik Gratis

⬇ DOWNLOAD NOW
Kalau muncul iklan pop-up, tutup lalu klik tombol kembali

Download lagu If `alpha" and "beta` are the zeroes of the polynomial `p(x)= 9x^(2)+9x | Class 10 MATH | Doubtnut secara gratis hanya untuk keperluan promosi. Dukung artis favorit kamu dengan membeli musik original di iTunes atau platform resmi lainnya.