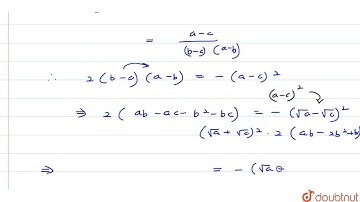
If three positive real numbers a, b, c, (c a) are in HP, then log (a + c) + log (a – 2b + c) is

Tonton & Download Video Musik Gratis

⬇ DOWNLOAD NOW
Kalau muncul iklan pop-up, tutup lalu klik tombol kembali

Download lagu If three positive real numbers a, b, c, (c a) are in HP, then log (a + c) + log (a – 2b + c) is secara gratis hanya untuk keperluan promosi. Dukung artis favorit kamu dengan membeli musik original di iTunes atau platform resmi lainnya.