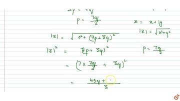
If z=(3+7 i)(p+iq), where p, q∈I-{0}, is purely imaginary, then minimum value of |z|^2 is (1) 0 (...

Tonton & Download Video Musik Gratis

⬇ DOWNLOAD NOW
Kalau muncul iklan pop-up, tutup lalu klik tombol kembali

Download lagu If z=(3+7 i)(p+iq), where p, q∈I-{0}, is purely imaginary, then minimum value of |z|^2 is (1) 0 (... secara gratis hanya untuk keperluan promosi. Dukung artis favorit kamu dengan membeli musik original di iTunes atau platform resmi lainnya.