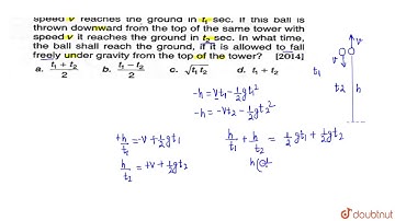
a ball is thrown vertically upwards from a tower and reaches the ground in 6 seconds.another ball is

Tonton & Download Video Musik Gratis

⬇ DOWNLOAD NOW
Kalau muncul iklan pop-up, tutup lalu klik tombol kembali

Download lagu a ball is thrown vertically upwards from a tower and reaches the ground in 6 seconds.another ball is secara gratis hanya untuk keperluan promosi. Dukung artis favorit kamu dengan membeli musik original di iTunes atau platform resmi lainnya.