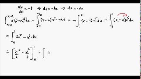
AP Calculus 7.2 Video 5 Substitution in Definite Integrals

Tonton & Download Video Musik Gratis

⬇ DOWNLOAD NOW
Kalau muncul iklan pop-up, tutup lalu klik tombol kembali

Download lagu AP Calculus 7.2 Video 5 Substitution in Definite Integrals secara gratis hanya untuk keperluan promosi. Dukung artis favorit kamu dengan membeli musik original di iTunes atau platform resmi lainnya.