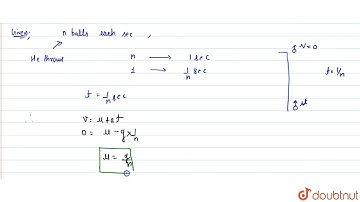
A juggler throws balls into the air. He throws one whenever the previous one is at its highest point

Tonton & Download Video Musik Gratis

⬇ DOWNLOAD NOW
Kalau muncul iklan pop-up, tutup lalu klik tombol kembali

Download lagu A juggler throws balls into the air. He throws one whenever the previous one is at its highest point secara gratis hanya untuk keperluan promosi. Dukung artis favorit kamu dengan membeli musik original di iTunes atau platform resmi lainnya.